Tipos de Retención
En el maestro de se deben crear los tipos de retención.
A continuación se muestra cómo configurar las Retenciones y Percepciones de Ingresos Brutos Entre Ríos , y a modo de ejemplo, un concepto de retención.
Retenciones Entre Ríos
Se accede desde el menú Administración → Impuestos → Tipos de Retención.
En la grilla, se presiona el botón
y se completan los datos.
Se deben configurar tres Tipos de Retención. Uno para Convenio Multilateral,otro para Contribuyente Local y otro para Obra (Empresa Constructora)
La diferencia entre los tres es el porcentaje de Base Imponible.
Solapa General
Retención Entre Ríos Convenio Multilateral
Retención Entre. Ríos Contribuyentes Directos - Local
Retención Entre Ríos - Obra
Código: representa un código único identificatorio.
Nombre: representa el nombre del Tipo de Retención que se está creando. Se sugiere que la retención se nombre de la forma que se muestra en la imagen.
Base Imponible: permite indicar el valor desde el cual el sistema tomará el I.S.A.R. (Importe Sujeto A Retención), el cual se utilizará luego como base de cálculo para la retención. Para este caso debe asignarse la opción Según Provincia.
Porcentaje Base Imponible: permite establecer un porcentaje para aplicar sobre la Base Imponible. Debe completarse con 50% para Convenio Multilateral, 100% para Contribuyentes Directos y 90% para Obra (Empresas Constructoras)
Modo Acumulación: determina el modo de acumulación del I.S.A.R. (Importe Sujeto A Retención). Para este caso debe indicarse Acumula Por Mes.
Clase Modo Retención: debe ingresarse CalculoRetencionesModo1.
Modo Aplicación: permite indicar desde qué transacción el sistema tomará el I.S.A.R. para el cálculo de la retención. Para este caso debe indicarse Destino
Agrupa Retención: permite, si el usuario lo desea, la impresión de retenciones iguales en un único comprobante.
Cálculo por la suma de Facturas: al activar éste y el checkbox Agrupa retención, el sistema evalúa si debe retener o no considerando la suma de todas las facturas y no de cada una. (solo se activa en Retencion IVA Reproweb para un caso particular)
Código Impositivo: en este atributo se debe ingresar el código del impuesto para el tipo de retención según Rentas Consultar con su contador.
Solapa Retenciones
En esta solapa se editan los distintos conceptos de retención asociados al tipo de retención.
Para agregar un concepto de Retención, se presiona el botón
.
Se muestra como ejemplo, un concepto de retención para Convenio Multilateral, otro para Contribuyentes Directos y otro para Obra.
Convenio Multilateral
Contribuyentes Directos
Obra (Empresa Constructora)
Solapa General
Código: representa un código único identificatorio.
Nombre: representa el nombre del Concepto de Retención que se está creando.
Uso de Talonario: determina la modalidad de selección de talonarios para el documento creado. Indicar la opción único.
Talonario: indica el talonario que tendrá asociado el documento a registrar. Se debe crear un nuevo talonario para empezar una numeración de 0. El número de comprobante configurado en el talonario de retención debe ser el año actual + 8 números. Ej: 2017-00000000.
Cuenta de Emisión: define la cuenta a utilizar en la transacción. Se aconseja crear una cuenta nueva para la Retención IIBB Entre Ríos efectuadas.
Cuenta Recepción: define la cuenta a utilizar en la transacción. Se aconseja crear una cuenta nueva para la Retención IIBB Entre Ríos recibidas.
Importe mínimo imponible: si la retención calculada es menor al monto especificado en este campo, no calcula nada. Consultar con su contador.
ISAR mínimo Imponible: si el ISAR es menor al mínimo especificado en este campo, no se calcula la retención. Consultar con su contador.
Importe Acumulado: es el importe que se va acumulando según el criterio establecido. Consultar con su contador.
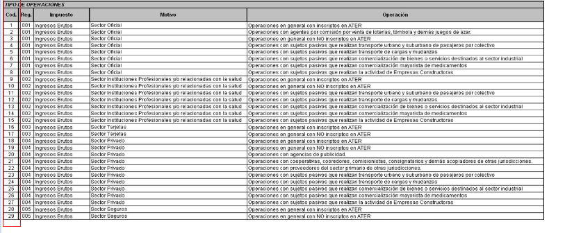
Código Impositivo: código asignado por la entidad impositiva al documento indicado. Más abajo se deja una tabla que puede ser útil al momento de indicar los códigos impositivos para los distintos conceptos de retención.
Régimen Art.2: código de la actividad.
Provincia Origen: no es necesario completarla.
Provincia Destino: representa la provincia. En este caso Entre Ríos.
Solapa Ítems
En esta solapa se definen los montos desde/hasta y el porcentaje que se aplicará según el monto.
Códigos Impositivos - Conceptos de Retención
Estos códigos corresponden a los Conceptos de Retención y deben indicarse, según corresponda, en el campo Código Impositivo ubicado en la solapa general del concepto de retención. (columna resaltada en rojo)
Percepciones Entre Ríos
De igual forma que las Retenciones, se debe crear una Percepción de Ingresos Brutos Entre Ríos.
Solapa General
Código: representa un código único identificatorio.
Nombre: representa el nombre del Tipo de Percepción que se está creando.
Base Imponible: permite indicar el valor desde el cual el sistema tomará el I.S.A.R. (Importe Sujeto A Retención), el cual se utilizará luego como base de cálculo para la retención. Para este caso debe asignarse la opción Según Provincia.
Porcentaje Base Imponible: permite establecer un porcentaje para aplicar sobre la Base Imponible. Debe completarse con 100%.
Modo Acumulación: determina el modo de acumulación del I.S.A.R. (Importe Sujeto A Retención). Para este caso debe indicarse Acumula por Mes.
Clase Modo Retención: debe ingresarse CalculoRetencionesModo1.
Modo Aplicación: permite indicar desde qué transacción el sistema tomará el I.S.A.R. para el cálculo de la retención. Para este caso debe indicarse Origen.
Agrupa Retención: permite, si el usuario lo desea, la impresión de retenciones iguales en un único comprobante.
Cálculo por la suma de Facturas: al activar éste y el checkbox Agrupa retención, el sistema evalúa si debe retener o no considerando la suma de todas las facturas y no de cada una.
Código Impositivo: en este atributo se debe ingresar el código del impuesto para el tipo de retención según AFIP. Consultar con su contador.
Solapa Retención
En esta solapa se editan los distintos conceptos de percepción asociados al tipo de percepción.
Para agregar un concepto de Percepción se presiona el botón
.
Solapa General
Código: representa un código único identificatorio.
Nombre: representa el nombre del Tipo de Percepción que se está creando.
Uso de Talonario: la percepción no debe tener talonario porque el número corresponde al número de la factura. En este caso colocar la opción único y dejar vacío el campo Talonario.
Talonario: dejar vacío.
Cuenta de Emisión: define la cuenta a utilizar en la transacción. Se aconseja crear una cuenta nueva para la Percepción IIBB Entre Ríos efectuadas.
Cuenta Recepción: define la cuenta a utilizar en la transacción. Se aconseja crear una cuenta nueva para la Retención IIBB Entre Ríos recibidas.
Importe mínimo imponible: si la percepción calculada es menor al monto especificado en este campo, no calcula nada. Consultar con su contador.
ISAR mínimo Imponible: si el ISAR es menor al mínimo especificado en este campo, no se calcula la percepción. Consultar con su contador.
Importe Acumulado: es el importe que se va acumulando según el criterio establecido.
Código Impositivo: código asignado por la entidad impositiva al documento indicado. Consultar con su contador. Más abajo se deja una tabla que puede ser útil al momento de indicar los códigos impositivos para los distintos conceptos de retención.
Régimen Art.2: código de la actividad.
Provincia Origen: no es necesario completarla.
Provincia Destino: representa la provincia. En este caso Entre Ríos.
Solapa Ítems
En esta solapa se definen los montos desde/hasta y el porcentaje que se aplicará según el monto.
Códigos Impositivos - Conceptos de Percepción
Estos códigos corresponden a los Conceptos de Retención y deben indicarse, según corresponda, en el campo Código Impositivo ubicado en la solapa general del concepto de retención. (columna resaltada en rojo)














